Disini saya membuat presentasi mengenai penentuan rumus menggunakan metode ilmiah, ini bisa dibilang dasar dari awalnya untuk menentukan rumus.
Langkah awal untuk memnentukan rumus melalui metode ilmiah itu didahului dengan Penelitian/Observasi, ini merupakan tujuan dari eksperimen yang dibuat dilaboratorium yang nantinya akan diulangi atau ditiru kembali. Setelah itu nanti ada hasil data berupa Data Kualitatif (tidak mengandung angka) dan Data Kuantitatif ( mengandung angka).
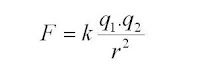
Setelah saya menjelaskan teorinya saya membuat laporan mengenai bagaimana menentukan Rumus Hukum Coulomb,
Melakukan
eksperimen bila metana (gas alam) dibakar akan membentuk karbon dioksida (CO2)
dan uap air (H2O), dua volume oksigen yang selalu dibutuhkan untuk menghasilkan
satu volume metana, volume diukur oada temperatur dan tekanan yang sama.
Dari
hasil reaksi tersebut dapat diperkirakan misalnya, kita mempunyai 5liter metana
maka dibutuhkan 10 liter gas oksigen untuk menyelesaikan reaksi yang terjadi.
Dari
hasil penelitian terbukti bahwa daya tarik menarik antara dua partikel yang
bermuatan listrik berlawanan akan berkurang sesuai dengan bertambahnya jarak
antara kedua partikel tesebut.
Pernyataan
ini lebih akurat ditulis dalam bentuk persamaan sebagai hukum coulomb
Eksperimen yang menghasilkan hukum, yang dijelaskan oleh
teori dimana teori itu sendiri mendorong dilakukannya penelitian baru, yang
menghasilkan hukum dan teori yang baru dan demikian seterusnya...
